background image
Université de Liège - Università degli Studi di Parma, a.a. 2000-2001, Cellina Sandra
Dieta del Lupo nel Parco dei Cento Laghi
6 Risultati
6.1 Analisi della dieta
Da gennaio a fine maggio 2001 sono stati trovati complessivamente 58
escrementi di Lupo lungo 26 sentieri diversi, percorsi una o più volte, in relazione
alla probabilità di rinvenimento di escrementi. Durante la ricerca sono stati
complessivamente percorsi a piedi 227 km (Tabella 4).
Numero di
fatte
trovate
Descrizione del percorso del
sentiero
km
totali
Altitudine media
(m.s. l. m)
1
Passo di Cirone
8,80
1325
13
Passo di Cirone ­ Monte
Borgognone ­ Groppo del
Vescovo
1351
2
8,88
5
Passo di Cirone ­ Monte Corno ­
Prati del Tavola
3
12,25
1331
5
4
Lagdei ­ Lago Pradaccio
6,00
1273
0
5
Lagdei ­ Lago Santo
7,00
1417
0
6
Lagdei ­ Monte Tavola
5,00
1391
0
Passo Sillara ­ Monte Polo ­
Groppo Nuovo ­ Passo Sillara
7
32,25
1134
10
8
Passo Sillara ­ Monte Castagnole
1,50
1225
1
Grammatica ­ Monte Quadro ­
Riana
9
14,63
1253
0
Passo della Colla ­ Groppo Fosco
­ Monte Quadro ­ Grammatica
10
10,88
1432
0
11
Lagoni ­ Passo Fugicchia
1,88
1434
0
Passo della Colla ­ Monte Navert
­ La Posa
12
3,00
1458
0
Poggio del Tesoro ­ Passo di
Casarola ­ Poggio Maslini
13
6,30
1186
2
14
Poggio del Ferro ­ Monte Caio
12,30
1400
0
43
background image
Université de Liège - Università degli Studi di Parma, a.a. 2000-2001, Cellina Sandra
Dieta del Lupo nel Parco dei Cento Laghi
Schia ­ Corno di Caneto ­ Monte
Caio
15
3,88
1410
3
Schia ­ Corno di Caneto ­ Lalatta
del Cardinale
16
5,00
1410
10
Prato Spilla ­ Lago Ballano ­
Prato Spilla
17
14,63
1391
0
Lago Verde ­ Prato Spilla ­ Lago
Ballano
18
4,75
1481
0
Lago Ballano ­ Lago Verde-
Cagnin
19
2,50
1505
0
Rigoso ­ Lago Verdarolo ­ Prato
Spilla
20
9,75
1306
0
Rigoso ­ Lago Squincio ­ Lago
Scuro
21
4,63
1226
0
22
Selvapiana
16,00
802
4
23
Valditacca ­ Passo della Colla
5,38
1220
0
Cima Nuda ­ Monte Palera ­
Monte Ronca Bora
24
7,13
1263
0
Berceto ­ Monte Tesa ­ Monte
Borgognone ­ Passo di Cirone
25
13,00
1134
0
26
Prato Spilla ­ Monte Sillara
10,00
1730
5
Media
8,43
1274
2
Somma
227,28
58,00
Tabella 4
Caratteristiche dei transetti percorsi e numero di escrementi rinvenuti
44
background image
Université de Liège - Università degli Studi di Parma, a.a. 2000-2001, Cellina Sandra
Dieta del Lupo nel Parco dei Cento Laghi
45
background image
Université de Liège - Università degli Studi di Parma, a.a. 2000-2001, Cellina Sandra
Dieta del Lupo nel Parco dei Cento Laghi
Mese
Fatte trovate
Gennaio
4
Febbraio
11
Marzo
11
Aprile
21
Maggio
11
Totale
58
Tabella 5
Distribuzione mensile dei ritrovamenti di escrementi
Quota
km percorsi
Fatte trovate
(m.s.l.m.)
<1000 m
21
4
206
54
>1000 m
Tabella 6
Escrementi trovati sopra e sotto i 1000 m di quota
Figura 7
Fatte trovate sopra e sotto i 1000 m
0
50
100
150
200
250
<1000 m
>1000 m
Altitudine
km
km percorsi
Fatte trovate
46
background image
Université de Liège - Università degli Studi di Parma, a.a. 2000-2001, Cellina Sandra
Dieta del Lupo nel Parco dei Cento Laghi
Categoria
km percorsi
Fatte trovate
(m/s.l.m.)
1(<1000)
21
2
2 (1000-1199)
8,88
1
3 (1200-1299)
71,25
17
4(1300-1399)
51,10
18
5 (1400-1499)
63
15
6 (1500-1599)
10,00
1
7 (1600-1699)
5
1
8 (1700-1799)
8,43
3
Tabella 8
Distribuzione altitudinale dei ritrovamenti di escrementi
Figura 9
Escrementi raccolti e altitudine media dei percorsi
0
10
20
30
40
50
60
70
80
1
2
3
4
5
6
7
8
Categorie di quota
km
0
5
10
15
20
Fatte
km percorsi
Fatte trovate
47
background image
Université de Liège - Università degli Studi di Parma, a.a. 2000-2001, Cellina Sandra
Dieta del Lupo nel Parco dei Cento Laghi
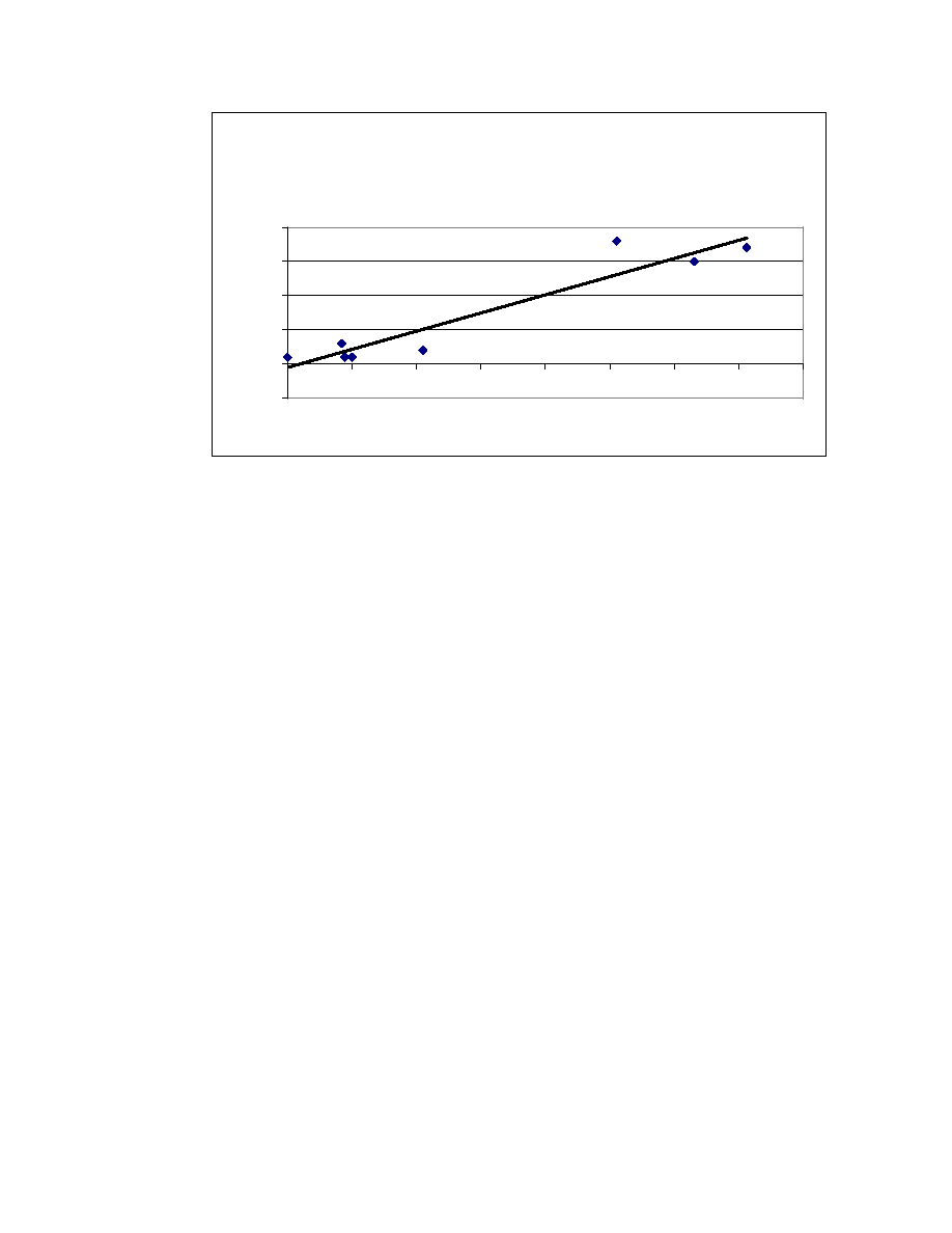
Figura 10
Correlazione tra km percorsi nelle diverse classi di quota e
escrementi raccolti
R=0,95; n=8; p<0,001; R² = 0,9001
-5
0
5
10
15
20
0
10
20
30
40
50
60
70
80
km percorsi
Fatte
trovate
Il 77,6 % degli escrementi di lupo reperiti è stato trovato ad una quota media
compresa tra i 1200 e i 1500 m.s.l.m. Tale dato è puramente indicativo in quanto la
quantità di escrementi raccolti è risultata dipendere dallo sviluppo lineare
complessivo dei percorsi situati ad una certa quota media e non dalla quota media in
se stessa. (tabelle 6 e 8, figure 7, 9 e 10)
La maggioranza dei sentieri è stata percorsa ad una quota compresa tra 1200 e
1500 m (s.l.m.) (tabella 8 e figura 9) poiché, al di sopra di tale intervallo, nel periodo
in cui è stata condotta questa ricerca, i sentieri non erano praticabili per la copertura
di neve e ghiaccio; mentre percorsi situati inferiori ai 1000 m.s.l.m. sono scarsamente
presenti nell'area del Parco.
48
background image
Université de Liège - Università degli Studi di Parma, a.a. 2000-2001, Cellina Sandra
Dieta del Lupo nel Parco dei Cento Laghi
49
background image
Université de Liège - Università degli Studi di Parma, a.a. 2000-2001, Cellina Sandra
Dieta del Lupo nel Parco dei Cento Laghi
6.1.1 Analisi degli escrementi
Animale consumato
numero
% sulle fatte totale
Capriolo Capreolus capreolus
35
38,89
Cinghiale Sus scrofa
31
34,44
Micromammiferi
8
8,89
Vacca Bos taurus
6
6,67
Cavallo Equus caballus
6
6,67
Lepre Lepus europaeus
3
3,33
Cane Canis familiaris
1
1,11
Tabella 11
Frequenza di comparsa delle diverse specie consumate
Negli escrementi sono anche stati trovati coleotteri, ma la determinazione di questi
ha evidenziato che si trattava di Scarabeidi Coprofagini del genere Ontofagus sp.,
che sono coprofagi. Di conseguenza non sono stati ingeriti dal Lupo, ma hanno
colonizzato l'escremento dopo la deposizione.
Animale consumato
% di comparsa totale % del volume totale
Capriolo Capreolus capreolus
38,89
45,01
Cinghiale Sus scrofa
34,44
28,65
Micromammiferi
8,89
9,06
Vacca Bos taurus
6,67
4,24
Cavallo Equus caballus
6,67
4,85
Lepre Lepus europaeus
3,33
7,58
Cane Canis familiaris
1,11
0,61
Tabella 12
50
background image
Université de Liège - Università degli Studi di Parma, a.a. 2000-2001, Cellina Sandra
Dieta del Lupo nel Parco dei Cento Laghi
Figura 13
Confronto tra frequenza di comparsa e volume percentuale
0,00
10,00
20,00
30,00
40,00
50,00
Capr
iolo
Cinghi
ale
Mic
rom
amm
ifer
o
Vac
ca
Cav
allo
Lepr
e
Can
e
%
% di comparsa nelle fatte totale
% del volume totale
Figura 14
Correlazione tra le percentuale di frequenza di comparsa e
volume delle diverse specie consumate
R = 0,97 n = 8; p < 0,001 R² = 0,9386
0,00
5,00
10,00
15,00
20,00
25,00
30,00
35,00
40,00
45,00
50,00
0,00
10,00
20,00
30,00
40,00
50,00
% di frequenza di comparsa
%

d
e
l

v
o
l
u
m
e

t
o
t
a
l
e
51
background image
Université de Liège - Università degli Studi di Parma, a.a. 2000-2001, Cellina Sandra
Dieta del Lupo nel Parco dei Cento Laghi
Figura 15
Volume in percentuale delle diverse specie consumate
45%
31%
9%
6% 5%
3% 1%
Capriolo
Cinghiale
Micromammifero
Lepre
Vacca
Cavallo
Cane
Dall'analisi degli escrementi si evidenzia che, sia utilizzando la frequenza di
comparsa, sia il volume percentuale, il capriolo e il cinghiale nel Parco dei Cento
Laghi costituiscono la base alimentare del Lupo (Figura 15).
Con il metodo della frequenza di comparsa, gli animali con pelo più lungo e
setoloso, quali il cinghiale, la vacca e il cavallo, tendono ad essere leggermente
sovrastimati, ma in misura non-significativa (Tabelle 12, 13 e 14).
Classe
% volume consumato
Selvatici
91,06
Domestici
8,94
Tabella 16
Percentuali di animali selvatici e domestici consumati
Sono classificati come "selvatici":
- Capriolo
- Cinghiale
- Micromammiferi
- Lepre
Sono classificati "domestici":
- Vacca
- Cavallo
- Cane
52
background image
Université de Liège - Università degli Studi di Parma, a.a. 2000-2001, Cellina Sandra
Dieta del Lupo nel Parco dei Cento Laghi
Figura 17
Animali selvatici e domestici consumati
Domestici
8,94
Selvatici
91,06
La figura 17 evidenzia come, nel periodo invernale e primaverile, più del
90% degli alimenti consumati dal Lupo nel Parco dei Cento Laghi è composto da
animali selvatici.
53
background image
Université de Liège - Università degli Studi di Parma, a.a. 2000-2001, Cellina Sandra
Dieta del Lupo nel Parco dei Cento Laghi
6.1.2 Resti di predazione
Data
dell'osservazione
Specie
Resti trovati
Località
Guadine Pradaccio,
20/02/00
1 cinghiale carcassa con segni di
predazione,
di fianco alla sassaia
orme ed escrementi di 3 lupi
20/02/00
1 cinghiale morto probabilmente
scappando lungo la sassaia,
Guadine Pradaccio,
di fianco alla sassaia
03/03/00
capriolo
maschio
carcassa ancora tiepida con
morsi sul collo e accenno di
sbranamento di una zampa
posteriore
Guadine Pradaccio,
il lungo la strada
Tracce di 2 grossi Canidi
06/03/00
capriolo
Pelle, ossa, escrementi freschi
di lupo, tracce di sangue e pelo
già trovati il 03/03/00
seguendo la pista partendo
dalla carcassa trovata quel
giorno
Guadine Pradaccio
16/11/00
capriolo
pelle, ossa, viscere, orme, fatte
di faina e volpe
Vicino a costale, San
Branato, Monchio
10/05/01
capriolo
pelle, viscere, orme, orme di
grosso canide
Piana dei Germi c/o
Briglia sul torrente
Parma di Francia
03/07/01
capriolo
pelle, viscere, orme, orme di
grosso canide
sotto strada da
Cancelli verso
Lagoni
Tabella 18
Resti di predazione rinvenuti nel 2000-2001
54
background image
Université de Liège - Università degli Studi di Parma, a.a. 2000-2001, Cellina Sandra
Dieta del Lupo nel Parco dei Cento Laghi
Resti di predazione
Carcassa di capriolo
Carcasse di cinghiali
55
background image
Université de Liège - Università degli Studi di Parma, a.a. 2000-2001, Cellina Sandra
Dieta del Lupo nel Parco dei Cento Laghi
6.2 Censimenti del Lupo
6.2.1 Censimento su neve
Durante il censimento del 2000, lungo il percorso n° 10 (dal Poggio del
Tesoro al Poggio dello Zucchero), sono state rilevate le tracce fresche di due lupi. Le
tracce sono state seguite a ritroso per circa 4 km fino ad un bosco di conifere senza
neve al suolo, da cui probabilmente erano partiti gli animali. Sia nel censimento del
2000 che in quello del 2001, nei pressi del Passo del Cirone e del Passo di Sillara,
sono state osservate le tracce di due lupi e sono stati trovati escrementi di lupo
contenenti pelo di cinghiale.
Nel censimento del 2001 sono infine state osservate tracce di due lupi, con
escrementi molto freschi, in località Selvapiana.
In entrambi gli anni di monitoraggio sono stati conteggiate due coppie di lupi in
settori del Parco sufficientemente distanti da far ritenere che si possa trattare di
esemplari diversi.
L'esperienza condotta in questo primo anno di attività, ha dimostrato
l'efficacia dei censimenti su neve effettuati contemporaneamente da più operatori su
aree ampie costituiscano una base alimentare importantissima per il lupo.
6.2.2 Ululati
L'indagine mediante richiamo acustico non ha, purtroppo, ad oggi, permesso
di confermare la presenza accertata tra gli altri metodi all'interno del territorio del
Parco dei Cento Laghi.
Purtroppo la tecnica del wolf-howling, per fornire buoni risultati, necessita di notti
caratterizzate da una quasi totale assenza di vento, condizione questa molto rara nel
Parco.
56
background image
Université de Liège - Università degli Studi di Parma, a.a. 2000-2001, Cellina Sandra
Dieta del Lupo nel Parco dei Cento Laghi
6.3 Censimenti degli ungulati
Battuta
Densità caprioli/100 ha
Paduli di Cima*
23,6
Tre fiumi
23,1
Lagdei**
18,7
Passo Sisa**
17,3
Sillara
10,7
Sivizzo
16,6
Tabella 19
Densità del capriolo su superficie boscata nel 2001
* Territorio compreso in AFV Alta Val Cedra
** Territorio compreso in AFV Alta Val Parma
Capriolo
Densità media di caprioli sull'area di battuta totale
19,4/100 ha
Consistenza numerica su superficie boscata totale
1.086
Densità di caprioli su superficie totale del pre-parco
13,6/100 ha
Cinghiale
Densità media di cinghiali sull'area di battuta totale
5,9/100 ha
Consistenza numerica su superficie boscata totale
332
Densità di cinghiali su superficie totale del pre-parco
4,15/100 ha
Tabella 20
Dati riassuntivi dei risultati per l'area di pre-parco nel 2001
Le battute di censimento, effettuate nel Parco dei Cento Laghi, hanno permesso di
evidenziare un'elevata densità del capriolo e del cinghiale, ma come si può
riscontrare in tabella 20, il capriolo ha una densità tre volte superiore a quella del
cinghiale.
57
background image
Université de Liège - Università degli Studi di Parma, a.a. 2000-2001, Cellina Sandra
Dieta del Lupo nel Parco dei Cento Laghi
CAPRIOLO CINGHIALE
Percentuale del volume totale delle fatte
45,20
30,77
Densità su superficie totale del pre-parco
13,60
4,15
(animali/100ha)
Tabella 21
Consumo della prede in confronto alla sua densità
Tabella 22
Consumo della prede in confronte alla sua densità
0,00
10,00
20,00
30,00
40,00
50,00
CAPRIOLO
CINGHIALE
Percentuale dal volume delle fatte
Densità su superfice totale del pre-parco n°/100ha
Il consumo effettuato del Lupo su cinghiale e capriolo appare congruente alla loro
densità.
58
background image
Université de Liège - Università degli Studi di Parma, a.a. 2000-2001, Cellina Sandra
Dieta del Lupo nel Parco dei Cento Laghi
59