background image
Ecologia del lupo (Canis lupus) in Italia e Europa ­ Ecologia alimentare
Università degli Studi di Pisa
66
3.2 LA DIETA DEL LUPO IN ITALIA E IN EUROPA: UNGULATI
SELVATICI O DOMESTICI?

I primi studi effettuati in Italia sull'ecologia alimentare del lupo indicavano
un quadro del tutto diverso rispetto a quanto visto per la provincia di
Arezzo.
In una delle prime ricerche pubblicate, infatti, Macdonald et al. (1980)
hanno rilevato che la dieta del lupo nel Parco Nazionale della Majella era
composta in maggioranza da vegetali, da domestici e rifiuti, mentre non
comparivano affatto ungulati selvatici (Fig. 3.2.1).
0
41,0
14,2
64,7
37,8
0
10
20
30
40
50
60
70
Ungulati
selvatici
Domestici
Rifiuti
Vegetali
Altro
F
C
%
Fig. 3.2.1 ­ Dieta del lupo nel Parco della Majella (Macdonald et al. 1980).

Un risultato analogo è stato riportato da Ragni et al. (1985) in uno studio
condotto in Umbria, dove gli ungulati domestici costituivano addirittura il
71% della Frequenza di Comparsa e nessun ungulato selvatico
compariva nella dieta.
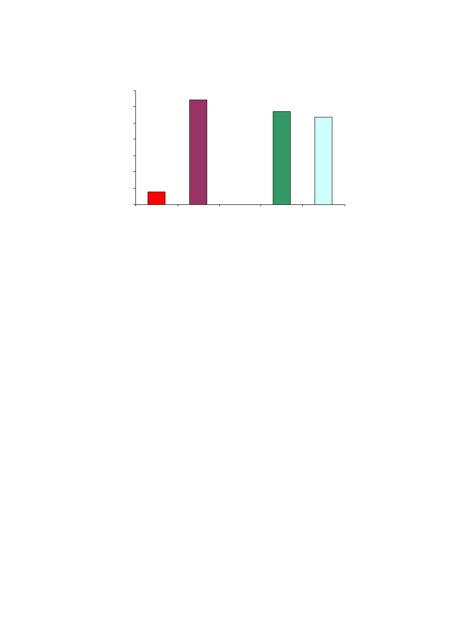
In uno studio effettuato nel Parco Nazionale d'Abruzzo da Patalano e
Lovari (1993), compaiono nella dieta anche gli ungulati selvatici, la cui
percentuale supera di poco quella dei domestici (Fig. 3.2.2). L'elevata
background image
Ecologia del lupo (Canis lupus) in Italia e Europa ­ Ecologia alimentare
Università degli Studi di Pisa
67
percentuale di materiale vegetale, come nello studio precedente di
Macdonald, è da valutare considerando il fatto che tale componente ha
un indice di digeribilità molto basso, pertanto la sua percentuale non è
propriamente paragonabile a quella delle altre componenti animali.









Fig. 3.2.2 ­ Dieta del lupo nel Parco Nazionale d'Abruzzo (Patalano e Lovari 1993).

Nello stesso periodo sono pubblicati due studi condotti in aree sud-
europee, in Spagna (Salvador e Abad, 1987) e in Grecia (Papageorgiu et
al., 1994).
Nel primo, la percentuale d'uso degli ungulati selvatici risultava circa 2/3
di quella dei domestici, mentre nel secondo il rapporto tra ungulati
selvatici e domestici era di 1 a 8 (Fig. 3.2.3, a-b).
a)






55,2
38,0
32,8
34,5
12,1
0
10
20
30
40
50
60
Ungulati
selvatici
Domestici
Rifiuti
Vegetali
Altro
F
C
%
35,3
52,3
41,5
85,7
14,3
0
10
20
30
40
50
60
70
80
90
100
Ungulati
selvatici
Domestici
Rifiuti
Vegetali
Altro
F
C
%
background image
Ecologia del lupo (Canis lupus) in Italia e Europa ­ Ecologia alimentare
Università degli Studi di Pisa
68
b)








Fig. 3.2.3 ­ Dieta del lupo a) nella provincia di León, Spagna, e b) in Grecia (in base
a 19 campioni di contenuto stomacale).
In entrambi gli studi, inoltre, è risultata molto elevata la percentuale di
vegetali; nello studio spagnolo anche la frequenza dei rifiuti è risultata
elevata.

Dagli anni '80 fino all'inizio degli anni '90 emerge, quindi, un quadro
abbastanza allarmante sulla dipendenza del lupo da prede domestiche
e, di conseguenza, sul potenziale conflitto con l'uomo, in particolare
nell'Europa mediterranea.
Tale situazione sembra contrapporsi nettamente a quanto riscontrato in
Europa orientale, in particolare nella Foresta Primordiale di Bialowieza,
dove la dieta del lupo è costituita quasi esclusivamente da ungulati
selvatici (Figura 3.2.4, Jedrzejejewski et al. 1992, 2000).
Tuttavia, Okarma (1995) ha evidenziato che anche nella ex-Russia
europea, dove si credeva che il lupo vivesse in condizioni di naturalità,
erano presenti due situazioni: 1) lupi "selvatici" che occupano ambienti
naturali e predano principalmente ungulati selvatici e 2) lupi "sinantropici"
7,8
64,3
57,1
53,4
0
10
20
30
40
50
60
70
Ungulati
selvatici
Domestici
Rifiuti
Vegetali
Altro
F
C
%
background image
Ecologia del lupo (Canis lupus) in Italia e Europa ­ Ecologia alimentare
Università degli Studi di Pisa
69
che vivono in ambienti antropizzati e si nutrono di ungulati domestici,
cani, pollame e carcasse.









Fig. 3.2.4 ­ Dieta del lupo nella Foresta Primitiva di Bialowieza (Polonia).

La caratterizzazione del lupo quale predatore di selvatici o "fruitore
passivo" delle attività dell'uomo, poteva essere estesa, in quel periodo, a
tutto il range di distribuzione europeo.
Una conferma è venuta dallo studio effettuato da Mattioli et al. (1995)
(vedi Figura 3.1.2) nelle Foreste Casentinesi, dove in presenza di una
comunità di ungulati selvatici abbondante e multispecifica tali specie
costituivano la preda principale del lupo.
Lo studio comparativo di Meriggi et al. (1996) tra tre aree italiane a
diversa disponibilità di ungulati selvatici ha evidenziato la stretta
relazione tra utilizzo e disponibilità di ungulati (Fig. 3.2.5 a,b,c).
30,5
0,6
26,6
132,7
0
20
40
60
80
100
120
140
Ungulati
selvatici
Domestici
Vegetali
Altro
F
C
%
background image
Ecologia del lupo (Canis lupus) in Italia e Europa ­ Ecologia alimentare
Università degli Studi di Pisa
70
a)






b)







c)








Fig. 3.2.5 ­ Dieta del lupo in tre aree appenniniche a differente disponibilità di
ungulati selvatici: a) provincia di Genova, b) provincia di La Spezia e c) provincia di
Forlì, versante romagnolo delle Foreste Casentinesi.
42,2
56,3
36,0
21,9
0,0
0
10
20
30
40
50
60
Ungulati
selvatici
Domestici
Rifiuti
Vegetali
Altro
F
C
%
9,5
76,3
17,2
22,9
64,9
0
10
20
30
40
50
60
70
80
90
Ungulati
selvatici
Domestici
Rifiuti
Vegetali
Altro
F
C
%
UNG. SELVATICO
UNG. DOMESTICO
v
107,7
3,8
2,5
6,3
6,3
0
20
40
60
80
100
120
Ungulati
selvatici
Domestici
Rifiuti
Vegetali
Altro
F
C
%
UNG. SELVATICO
UNG. DOMESTICO
background image
Ecologia del lupo (Canis lupus) in Italia e Europa ­ Ecologia alimentare
Università degli Studi di Pisa
71
Un risultato analogo era stato riportato da Cuesta et al. (1991), mettendo
a confronto cinque aree della Spagna con differente disponibilità di
ungulati selvatici: l'uso degli ungulati selvatici variava dallo 0% al 100%
di FC% (Fig. 3.2.6).










Fig. 3.2.6 ­ Dieta del lupo in cinque aree della Spagna a differente disponibilità di
ungulati selvatici.

In Italia, gli studi di Mattioli et al. 1995 e Meriggi et al. 1996 (area di Forlì)
si riferivano a due aree confinanti, facenti parte della stesso complesso
ecologico, le Foreste Casentinesi. Pertanto si poteva ipotizzare che la
prevalenza di ungulati selvatici nella dieta fosse una situazione del tutto
particolare, originata dalla storia della gestione delle Foreste stesse.
Dalla metà degli anni '90 in poi, però, in Italia e nel resto d'Europa sono
sempre più numerosi gli studi pubblicati in cui gli ungulati selvatici
risultano essere la preda principale del lupo. (Fig. 3.2.7).
Tuttavia sono ancora presenti situazioni di conflitto con l'attività
zootecnica, in particolare in aree di nuova colonizzazione, come ad
esempio nello studio di Poulle et al. (1997) sulle Alpi Marittime e di
Gazzola et al. (2005) in Val di Susa (Alpi Cozie), o di Capitani et al. in
0
20
40
60
80
100
120
Galizia
Cantabrici
Douro Meseta
Demanda
mounutains
Sierra Morena
Ungulati selvatici
Domestici
Vegetali
Altro
F
C
%
background image
Ecologia del lupo (Canis lupus) in Italia e Europa ­ Ecologia alimentare
Università degli Studi di Pisa
72
102,0
0,4
40,0
0
20
40
60
80
100
120
Ungulati
selvatici
Domestici
Altro
F
C
%
11,0
32,0
73,0
136
0
20
40
60
80
100
120
140
160
Ungulati
selvatici
Domestici
Vegetali
Altro
F
C
%
Val di Cecina (2004). Sidorovich et al., (2003), inoltre, hanno evidenziato
un cambiamento nell'uso degli ungulati selvatici a favore di quelli
domestici a seguito di una drastica diminuzione della disponibilità di
selvatici





















80,0
17,0
3,0
0
10
20
30
40
50
60
70
80
90
Ungulati selvatici
Domestici
Altro
F
C
%
Poulle et al., 1997-PN Mercantour (Alpi francesi)
Olsson et al., 1997-Confine Norvegia-Svezia
Ciucci et al.,1996-PN Orecchiella (App. Tosco-emiliano)
background image
Ecologia del lupo (Canis lupus) in Italia e Europa ­ Ecologia alimentare
Università degli Studi di Pisa
73




























Gade-Jørgensen and Stategaard, 2000-Finlandia
94,7
27,2
10,5
3,4
0
10
20
30
40
50
60
70
80
90
100
Ungulati
selvatici
Domestici
Vegetali
Altro
F
C
%
Sidorovich et al.,, 2003 ­ Bielorussia
alta disponibilità ung. selvatici
Sidorovich et al., 2003 ­ Bielorussia
bassa disponibilità ung. selvatici
5,3
74,9
70,5
54
0
10
20
30
40
50
60
70
80
Ungulati
selvatici
Domestici
Vegetali
Altro
F
C
%
72,0
24,5
3,0
2,0
0
10
20
30
40
50
60
70
80
Ungulati
selvatici
Domestici
Vegetali
Altro
F
C
%
background image
Ecologia del lupo (Canis lupus) in Italia e Europa ­ Ecologia alimentare
Università degli Studi di Pisa
74




























Capitani et al., 2004 ­ Val di Cecina
Capitani et al., 2004 ­ Val di Susa
Andersone e Ozolins, 2004-Latvia
9,3
9,3
110,9
0
20
40
60
80
100
120
Ungulati
selvatici
Domestici
Altro
F
C
%
3,0
5,7
91,4
0
20
40
60
80
100
Ungulati
selvatici
Domestici
Altro
F
C
%
6,5
13,0
33,3
75,0
0
10
20
30
40
50
60
70
80
Ungulati
selvatici
Domestici
Vegetali
Altro
F
C
%
background image
Ecologia del lupo (Canis lupus) in Italia e Europa ­ Ecologia alimentare
Università degli Studi di Pisa
75






















Fig. 3.2.7 ­ Dieta del lupo in Italia e Europa dal 1996 al 2006, con particolare
riferimento all'uso di ungulati selvatici e domestici. Gli autori e le aree geografiche
degli studi sono indicati per ciascuno grafico.
Gazzola et al. 2005-Alpi torinesi
Nowak et al., 2005-Carpazi occidentali (Polonia)
1,0
4,4
57,2
99,2
10,8
0
20
40
60
80
100
120
Ungulati
selvatici
Domestici
Rifiuti
Vegetali
Altro
F
C
%
Ansorge et al. 2006-Sassonia (Germania)
86,4
4,5
6,7
1,7
0
10
20
30
40
50
60
70
80
90
100
Ungulati
selvatici
Domestici
Vegetali
Altro
F
C
%
9,8
110,5
0
20
40
60
80
100
120
Ungulati selvatici
Altro
F
C
%
background image
Ecologia del lupo (Canis lupus) in Italia e Europa ­ Ecologia alimentare
Università degli Studi di Pisa
76
Dall'analisi della dieta del lupo dal 1980 al 2006 emerge un aumento nel
tempo della frequenza degli studi in cui la percentuale di ungulati
selvatici è maggiore rispetto a quella dei domestici.
0%
20%
40%
60%
80%
100%
1
2
3
4
5
6
7
8
9 10 11 12 13 14 15 16 17 18 19 20 21 22 23 24 25 26 27 28 29 30 31
FC%
Ungulati selvatic i
Domestici
Fig. 3.2.8 Utilizzo di Ungulati selvatici e Domestici nella dieta del lupo in Europa dal
1995 al 2006. Le fonti bibliografiche utilizzate, ordinate in senso temporale rispetto
all'anno di pubblicazione, sono:
1-Macdonald et al.,1980, 2-Salvador e Abad, 1987; 3-Cuesta et
al., 1991 (Galizia); 4-Cuesta etal., 1991 (Cantabrici); 5-Cuesta et al., 1991 (Douro Meseta); 6-Cuesta
e tal., 1991 (Demanda mountains); 7-Cuesta et al., 1991 (Sierra Morena); 8-Patalano e Lovari, 1993;
9-Papageorgiu et al., 1994; 10-Meriggi et al. 1996 (Genova); 11-Meriggi et al. 1996 (La Spezia); 12-
Meriggi et al. 1996 (Forlì); 13-Mattioli et al. 1995; 14-Ciucci et al. 1996; 15-Poulle at al., 1997; 16-
Olsson et al., 1997; 17-Gade-Jorgensen and Stategaard, 2000; 18-Jedrzjewski et al., 2000; 19-
Sidorovich et al., 2003 (alta disponibilità di ungulati selvatici); 20-Sidorovich et al., 2003 (bassa
disponibilità di ungulati selvatici); 21-Andersone e Ozolins, 2004; 22-Capitani et al. 2004 (Val di Susa);
23-Capitani et al. 2004 (Val di Cecina; 24-Mattioli et al. 2004 (Alto Mugello); 25-Mattioli et al. 2004
(Vallesanta); 26-Mattioli et al. 2004, Capitani et al. 2004 (Pratomagno); 27-Mattioli et al. 2004; 28-
Lamberti 2004, Alboni 2004, Colombo 2006; 29-Nowak et al., 2005; 30-Gazzola et al. 2005; 31-
Ansorge et al. 2006.
Come mostrato da Meriggi e Lovari (1996), l'utilizzo degli ungulati
domestici tende a diminuire con l'aumento dell'uso di ungulati selvatici.
Aggiornando l'equazione di regressione fornita dagli autori con i dati
relativi al decennio 1996-2006, si ottiene ancora una relazione negativa
background image
Ecologia del lupo (Canis lupus) in Italia e Europa ­ Ecologia alimentare
Università degli Studi di Pisa
77
significativa (p<0,001) tra la frequenza di comparsa degli ungulati
selvatici e dei domestici nella dieta del lupo.
y = -0,4804x + 59,167
R
2
= 0,6146
0
10
20
30
40
50
60
70
80
90
0
20
40
60
80
100
120
140
160
FC% Ung. selvatici
F
C
%

U
n
g
.

d
o
m
e
s
t
i
c
i
Fig. 3.2.9 ­ Correlazione inversa tra la Frequenza di Comparsa di ungulati selvatici e
domestici nelle fonti bibliografiche analizzate (vedi Fig. 3.2.8).
background image
Ecologia del lupo (Canis lupus) in Italia e Europa ­ Ecologia alimentare
Università degli Studi di Pisa
78
3.3 USO DEGLI UNGULATI SELVATICI

L'uso degli ungulati selvatici da parte del lupo rispecchia sia la sua
capacità di adattamento a differenti condizioni ecologiche sia le
differenze morfologiche tra le popolazioni europee del predatore.
La preda principale del lupo tra gli ungulati selvatici, infatti, varia dal
cinghiale e il capriolo delle foreste temperate del mediterraneo, al cervo
e il capriolo delle foreste decidue dell'europa centro-orientale, alle renne
e l'alce della taiga e delle pianure nord europee (Tab. 3.3.1).

Tabella 3.3.1 Uso degli ungulati selvatici, tra gli ungulati selvatici, per ciascuno degli
studi analizzati.
N
Fonte bibliografica
Area
Preda
principale
Prede
secondarie
1
Bjarvall e Isakson, 1982
Parco Nazionale Stora
Sjofellet (Nord Sevezia
Renna
Alce
2
Salvator e Abad, 1987
Provincia
di
Leon
(Spagna)
Capriolo
Cinghiale
3
Filonov 1989
riserva Darvinskii
Alce
Cinghiale,
capriolo
4
Filonov 1989
riserva Pripiatskii
Capriolo
Alce, cinghiale
5
Filonov 1989
riserva Berezinskii
Alce
Cinghiale, cervo,
capriolo
6
Cuesta et al, 1991
Cantabrici
Capriolo
Cervo, cinghiale
7
Cuesta et al, 1991
Douro Meseta
Cinghiale
/
8
Cuesta et al, 1991
Demanda mountains
Capriolo
Cinghiale
9
Cuesta et al, 1991
Sierra
Morena-
Estremadura
Cinghiale
Cervo
10 Patalano e Lovari, 1993
PN Abruzzo
Cervo
Capriolo,
cinghiale,
camoscio
background image
Ecologia del lupo (Canis lupus) in Italia e Europa ­ Ecologia alimentare
Università degli Studi di Pisa
79
N
Fonte bibliografica
Area
Preda
principale
Prede
secondarie
11 Smietana e Klimek, 1993
Bieszczady
(Carpazi,
Polonia)
Cervo
Capriolo,
Cinghiale
12 Papageorgiu et al., 1994
Grecia
Cinghiale,
Daino
/
13 Mattioli et al. 1995
Foreste
Casentinesi
(Prov. Arezzo)
Cinghiale
Capriolo, cervo,
daino
14 Ciucci et al. 1996
P. Nat. Orecchiella
(Prov. Lucca)
Cinghiale
Cervo, capriolo,
muflone
15 Meriggi et al., 1996
Genova
Cinghiale
Daino, capriolo
16 Meriggi et al., 1996
La Spezia
Cinghiale
Daino
17 Meriggi et al., 1996
Foreste
Casentinesi
(Prov. Forlì)
Cinghiale
Daino, capriolo,
muflone, cervo
18 Olsson et al. 1997
Sud Scandinavia
Capriolo
Alce
19 Poulle et al., 1997
PR Mercantour
(Alpi francesi)
Muflone
Camoscio,
cinghiale
20 Gade-Jorgensen
and
Stategaard, 2000
Nord Karelia,
Finlandia
Alce
Castoro
21 Jedrzejewski et al. 2000
Foresta di Bialowieza
(Polonia)
Cervo
Capriolo,
cinghiale, alce
22 Kübarsepp e Valdmann,
2003
Estonia
Alce
Cinghiale,
capriolo
23 Sidorovich et al., 2003
Bielorussia
Cinghiale
Alce, capriolo
24 Andersone and Ozolins,
2004
Latvia
Cervidi
Cinghiale
25 Capitani et al., 2004
Pratomagno
(Prov. Arezzo)
Cinghiale
Capriolo, daino
26 Capitani et al., 2004
Val di Cecina
(Prov. Pisa)
Muflone
Daino, capriolo
27 Kojola et al., 2004
Finlandia centro-orientale Alce
Renna selvatica
(Rangifer
tarandus f.)
background image
Ecologia del lupo (Canis lupus) in Italia e Europa ­ Ecologia alimentare
Università degli Studi di Pisa
80
N
Fonte bibliografica
Area
Preda
principale
Prede
secondarie
28 Mattioli et al., 2004
Vallesanta
(Prov. Arezzo)
Capriolo
Cinghiale, daino,
cervo
29 Mattioli et al., 2004
Valtiberina
(Prov. Arezzo)
Capriolo
Cinghiale, daino
30 Gazzola et al. 2005
Val di Susa
(Prov. Torino)
Cervo
Capriolo,
cinghiale
31 Nowak et al., 2005
Carpazi
occidentali
(Polonia)
Capriolo(*)
Cervo (*)
32 Ansorge et al., 2006
Sassonia
(Germania orientale)
Capriolo
Cervo, cinghiale,
muflone
(*) 26,4% di Cervidi indeterminati

Analizzando la frequenza di ciascuna specie come preda principale
nell'insieme di studi considerati, il cinghiale è risultato la specie con la
più alta percentuale (Fig. 3.3.1).
Tuttavia questo dato è influenzato dall'ampiezza del campione delle fonti
bibliografiche utilizzate e dalla distribuzione geografica delle aree di
studio.
0%
5%
10%
15%
20%
25%
30%
35%
Alce
Capriolo
Cervo
Cinghiale
Muflone
Renna
Cervidi
Fig. 3.3.1 ­ Percentuale di occorrenza come preda principale di ciascuna specie di
ungulato selvatico riscontrata nelle fonti bibliografiche utilizzate. Nello studio di
Andersone e Ozolins (2004) cervo e capriolo sono cumulati in un'unica categoria.
background image
Ecologia del lupo (Canis lupus) in Italia e Europa ­ Ecologia alimentare
Università degli Studi di Pisa
81

Suddividendo il campione per aree geografiche, si evidenzia una
differenziazione nell'uso degli ungulati selvatici tra Europa settentrionale,
Europa centro-orientale e sud Europa.
0%
10%
20%
30%
40%
50%
60%
Alc
e
Ca
pri
olo
Ce
rvo
Cin
gh
ial
e
Mu
flo
ne
Re
nn
a
Ce
rvi
di
nord Europa
centro-est Europa
sud Europa
Fig. 3.3.2 Percentuale di occorrenza delle specie di ungulati selvatici come preda
principale nelle tre aree geografiche: Europa settentrionale, Europa centro-orientale,
Europa meridionale.

Il cinghiale risulta più frequentemente la preda principale nell'Europa
meridionale, seguito da capriolo, cervo e muflone. Fanno eccezione in
particolare le aree alpine. Nell'Europa centro-orientale sono invece
prevalenti i cervidi, in particolare capriolo, alce, e cervo. Nelle regioni
settentrionali (Scandinavia), prevale l'utilizzo dell'alce.

E'stata evidenziata una correlazione inversa statisticamente significativa
tra la frequenza di comparsa del cinghiale e quella dei cervidi negli studi
analizzati (Fig. 3.3.3, p = 0,010). Il valore dell'R
2
indica però che la
relazione nell'uso delle due categorie è influenzata anche da altri
parametri.
background image
Ecologia del lupo (Canis lupus) in Italia e Europa ­ Ecologia alimentare
Università degli Studi di Pisa
82
y = -0,5242x + 66,47
R
2
= 0,285
0
10
20
30
40
50
60
70
80
90
100
0,0
20,0
40,0
60,0
80,0
100,0
FC% cinghiale
F
C
%

c
e
r
v
i
d
i

Fig. 3.3.3 ­ Andamento della frequenza di utilizzo dei cervidi da parte del lupo in
relazione a quella del cinghiale.












Fig. 3.3.4 - Andamento della latitudine, espressa in gradi sessadecimali, negli studi
analizzati in relazione all'incremento della frequenza di comparsa del cinghiale.

La frequenza di comparsa relativa del cinghiale, tra gli ungulati selvatici,
mostra una leggera tendenza all'incremento in corrispondenza della
diminuzione della latitudine (Figura 3.3.4). Osservando la figura si nota
che alcuni valori si discostano notevolmente dalla retta di regressione. In
particolare, ci sono tre valori di basso uso del cinghiale a latitudini
y = -11,649x + 53,554
R
2
= 0,2844
36
39
42
45
48
51
54
57
60
63
66
0,00
0,20
0,40
0,60
0,80
1,00
FCr% cinghiale
L
a
t
i
t
u
d
i
n
e
background image
Ecologia del lupo (Canis lupus) in Italia e Europa ­ Ecologia alimentare
Università degli Studi di Pisa
83
relativamente basse, corrispondenti agli studi di Gazzola et al. 2005 per
la Alpi occidentali, Capitani et al. 2004 per la Val di Cecina, e di Capitani
et al. 2003 e Mattioli et al. 2004 per la Valtiberina. Il contrario si
evidenzia per lo studio di Sidorovich et al. (2003) in cui è stato
riscontrato un uso elevato del cinghiale in un area ad elevata latitudine.
Questo è comunque l'unico caso in cui la FCr% del cinghiale supera il
50% a latitudini superiori a 45°, corrispondente all'area Alpina.
background image
Ecologia del lupo (Canis lupus) in Italia e Europa ­ Ecologia alimentare
Università degli Studi di Pisa
84
3.4 SELEZIONE DEGLI UNGULATI SELVATICI

Sulla selezione delle prede da parte del lupo in Europa sono stati
realizzati pochi studi, a causa della mancanza di dati precisi sulla
disponibilità di ungulati selvatici. La revisione delle fonti bibliografiche ha
portato alla scelta di un gruppo di lavori per i quali fosse possibile
calcolare gli indici di Manly w e ß (vedi Metodi). Tenendo conto delle
differenze nei metodi di raccolta dei dati e nell'ampiezza del campione
tra i diversi studi, dai risultati ottenuti si possono tuttavia estrapolare delle
tendenze generali.
Dall'analisi della selezione sembra emergere una netta differenza tra
l'Europa "mediterranea" e quella "continentale" (Tabella 3.4.1). Nell'area
"mediterranea", infatti, risulta sempre selezionato positivamente il
cinghiale mentre in quella "continentale" i cervidi. A differenza di quanto
riscontrato analizzando l'uso degli ungulati selvatici, tra i cervidi la specie
selezionata positivamente è il cervo. Il capriolo invece è risultato
selezionato negativamente in tutti gli studi analizzati, con l'eccezione di
quello condotto in Scandinavia (Ollsson et al.1997).
Il risultato delle Alpi Occidentali si allinea con quanto osservato in
Europa "continentale", essendo il cervo la specie preda preferita tra gli
ungulati selvatici.
Considerando anche le indicazioni ottenute dalle fonti bibliografiche per
cui non è stato possibile ricalcolare l'indice di selezione, si aggiungono
alcune informazioni. In tre aree della ex Russia europea, Filonov (1989 )
ha evidenziato una selezione negativa del cinghiale per tutte le aree, e la
selezione positiva dell'Alce (riserve di Darvinskii e Berezinskii) e del
cervo e del capriolo (riserva di Pripiatskii). Kojola et al. (2004), invece,
hanno evidenziato una selezione positiva delle renna nella Finlandia
centro-orientale.
background image
Ecologia del lupo (Canis lupus) in Italia e Europa ­ Ecologia alimentare
Università degli Studi di Pisa
85
Tab. 3.4.1 ­ Selezione delle specie di ungulati selvatici calcolata con gli indici Manly
w e ß in 9 studi europei. In nero sono evidenziati in grassetto i risultati di selezione
positiva, in blu grassetto quelli di selezione negativa.
Fonte
Specie
Manly w
Manly
ß
N
Selezione
Cinghiale
2,63
0,42
156
+
Daino
1,07
0,17
ns
Capriolo
0,36
0,06
-
Muflone
2,01
0,32
ns
Meriggi et al. 1996
(Foreste Casentinesi)
Prov. Forlì
Cervo
0,22
0,03
-
Capriolo
3,21
0,89
684
+
Olsson et al. 1997
Sud Scandinavia
Alce
0,41
0,11
-
Cervo
1,78
0,53
649
+
Capriolo
0,54
0,16
-
Cinghiale
0,54
0,16
-
Alce
0,46
0,14
ns
Jedrzejewski et al. 2000
Foresta di Bialowieza
(Polonia)
Bisonte
0,05
0,02
ns
Muflone
3,50
0,71
118
+
Cervidi
(Capriolo+daino)
0,84
0,17
ns
Capitani et al. 2004-Val di
Cecina (Prov. Pisa)
Cinghiale
0,57
0,12
-
Cinghiale
6,30
0,97
351
+
Capitani et al. 2004-
Pratomagno (Prov.
Arezzo)
Cervidi
(Capriolo+daino)
0,23
0,03
-
Cinghiale
2,83
0,60
1666
+
Capriolo
0,40
0,09
-
Cervo
0,84
0,18
-
Mattioli et al. 2004, e
Mattioli et al.in prep -
Foreste Casentinesi (Prov.
Arezzo)
Daino
0,64
0,14
-
Cinghiale
3,15
0,79
+
Capriolo
0,70
0,17
272
-
Cervo
0,09
0,02
ns
Mattioli et al. 2004,
Capitani et al. 2003 -
Vallesanta
Daino
0,08
0,02
ns
Cinghiale
2,09
0,52
+
Capriolo
0,83
0,21
288
-
Mattioli et al. 2004,
Capitani et al. 2003 ­
Valtiberina (Prov. Arezzo)
Daino
0,89
0,22
ns
Cervidi
(Alce+Cervo+Capri
olo)
2,16
0,90
302
+
Andersone e Ozolins-
ovest Latvia 2004
Cinghiale
0,24
0,10
-
Cervo
2,19
0,60
93
+
Capriolo
0,68
0,18
-
Nowak et al. 2005 Carpazi
occ. (Polonia)
Cinghiale
0,80
0,22
ns
Cervo
1,45
0,54
848
+
Capriolo
0,88
0,33
ns
Gazzola et al. 2005- Val di
Susa (Prov. Torino)
Camoscio
0,35
0,13
-
Capriolo
1,74
0,53
192
+
Cervo
1,05
0,32
ns
Ansorge et al. 2006 ­
Sassonia
(Germania)
Cinghiale
0,49
0,15
-
background image
Ecologia del lupo (Canis lupus) in Italia e Europa ­ Ecologia alimentare
Università degli Studi di Pisa
86
Per il cinghiale, l'intensità della selezione (indice standardizzato ß) è
risultata significativamente (p = 0,014) correlato in modo positivo con la
densità relativa della specie nella comunità di ungulati.
Al contrario la regressione non è risultata significativa nel caso del
capriolo e del cervo, nonostante per questa specie si evidenzi una
tendenza positiva (fig. 3.4.1 a-c).
a)
y = 0,7247x + 0,1622
R
2
= 0,5559 p=0,014
0
0,1
0,2
0,3
0,4
0,5
0,6
0,7
0,8
0,9
1
0,0
0,2
0,4
0,6
0,8
1,0
Indice Manly B
D
e
n
s
i
t
à

r
e
l
a
t
i
v
a

(
%
)
Cinghiale
b)
y = -0,1843x + 0,3671
R
2
= 0,0637
0
0,1
0,2
0,3
0,4
0,5
0,6
0,7
0,8
0,0
0,2
0,4
0,6
0,8
1,0
Indice Manly B
D
e
n
s
i
t
à

r
e
l
a
t
i
v
a

(
%
)
Capriolo
background image
Ecologia del lupo (Canis lupus) in Italia e Europa ­ Ecologia alimentare
Università degli Studi di Pisa
87
c)
y = 0,3842x + 0,1018
R
2
= 0,3974
0
0,1
0,2
0,3
0,4
0,5
0,0
0,2
0,4
0,6
0,8
Indice Manly B
D
e
n
s
i
t
à

r
e
l
a
t
i
v
a

(
%
)
Cervo
Fig. 3.4.1 ­ Analisi di regressione dell'intensità della selezione (indice ß) in relazione
alla densità relativa della specie nella comunità di ungulati per a) cinghiale, b)
capriolo e c) cervo.

Analizzando la variazione dell'intensità della selezione rispetto alla
latitudine, è stata riscontrata una correlazione positiva sia per il capriolo
sia per il cervo, anche se significativa solo per il capriolo (p = 0,009).
Viceversa per il cinghiale l'indice è risultato correlato negativamente in
modo significativo con la latitudine (p = 0,045) (Fig. 3.4.2 a-c).

a)
y = -11,57x + 52,096
R
2
= 0,4106 p=0,045
30
35
40
45
50
55
60
65
0,0
0,2
0,4
0,6
0,8
1,0
Indice Manly B
L
a
t
i
t
u
d
i
n
e

(
°
)
Cinghiale
background image
Ecologia del lupo (Canis lupus) in Italia e Europa ­ Ecologia alimentare
Università degli Studi di Pisa
88
b)
y = 17,489x + 42,962
R
2
= 0,6468 p=0,009
30
35
40
45
50
55
60
65
0,0
0,2
0,4
0,6
0,8
1,0
Indice Manly B
L
a
t
i
t
u
d
i
n
e

(
°
)
Capriolo

c)
y = 10,217x + 43,649
R
2
= 0,4647 p=0,091
35
40
45
50
55
0,0
0,2
0,4
0,6
0,8
Indice Manly B
L
a
t
i
t
u
d
i
n
e

(
°
)
Cervo
Fig. 3.4.2 ­ Analisi di regressione dell'intensità della selezione (indice ß) in relazione
alla latitudine (espressa in gradi sessagesimali) per a) cinghiale, b) capriolo e c)
cervo.

Infine, un elemento comune è stato riscontrato nella maggior parte degli
studi: la selezione positiva delle classi giovanili (< 1 anno di età) rispetto
agli adulti all'interno della stessa specie (Tabella 3.4.2).


background image
Ecologia del lupo (Canis lupus) in Italia e Europa ­ Ecologia alimentare
Università degli Studi di Pisa
89
Tab. 3.4.2 ­ Selezione degli individui di età inferiore a 1 anno nelle specie preda di
ungulati selvatici.
Fonte
Selezione
Jedrzejewski et al. 2000
selezione positiva dei giovani di cervo, cinghiale, alce
e bisonte, tranne capriolo
Capitani et al. 2004-
Pratomagno
selezione positiva dei giovani di cinghiale e capriolo
Mattioli et al. 2004, e
Mattioli et al. in prep -
Foreste Casentinesi
selezione positiva dei giovani di cinghiale, capriolo,
cervo e daino
Mattioli
et
al.
2004,
Capitani et al. 2003 -
Vallesanta
tendenza alla selezione positiva dei giovani di capriolo
e cinghiale
Mattioli
et
al.
2004,
Capitani et al. 2003 -
Valtiberina
tendenza alla selezione positiva dei giovani di capriolo
e cinghiale
Nowak et al. 2005
selezione positiva dei giovani di capriolo (nelle fatte)
Gazzola et al. 2005
selezione positiva dei giovani di cervo, capriolo e
camoscio
Smietana et al. 2005
selezione dei giovani di cervo

Dagli studi analizzati risulta sempre una selezione positiva dei giovani di
cinghiale e cervo, mentre per il capriolo nessuna selezione è stata
evidenziata nella Foresta di Bialowieza (Jedrzejewski et al. 2000), e nei
Carpazi occidentali Nowak et al. (2005) hanno riscontrato la selezione
positiva solo nelle fatte, ma non nelle predazioni.